A new paper titled Real-time probabilistic backfill thermal property estimation method enabling estimation convergence judgment has been published in Case Studies in Thermal Engineering.
Paper link
Summary
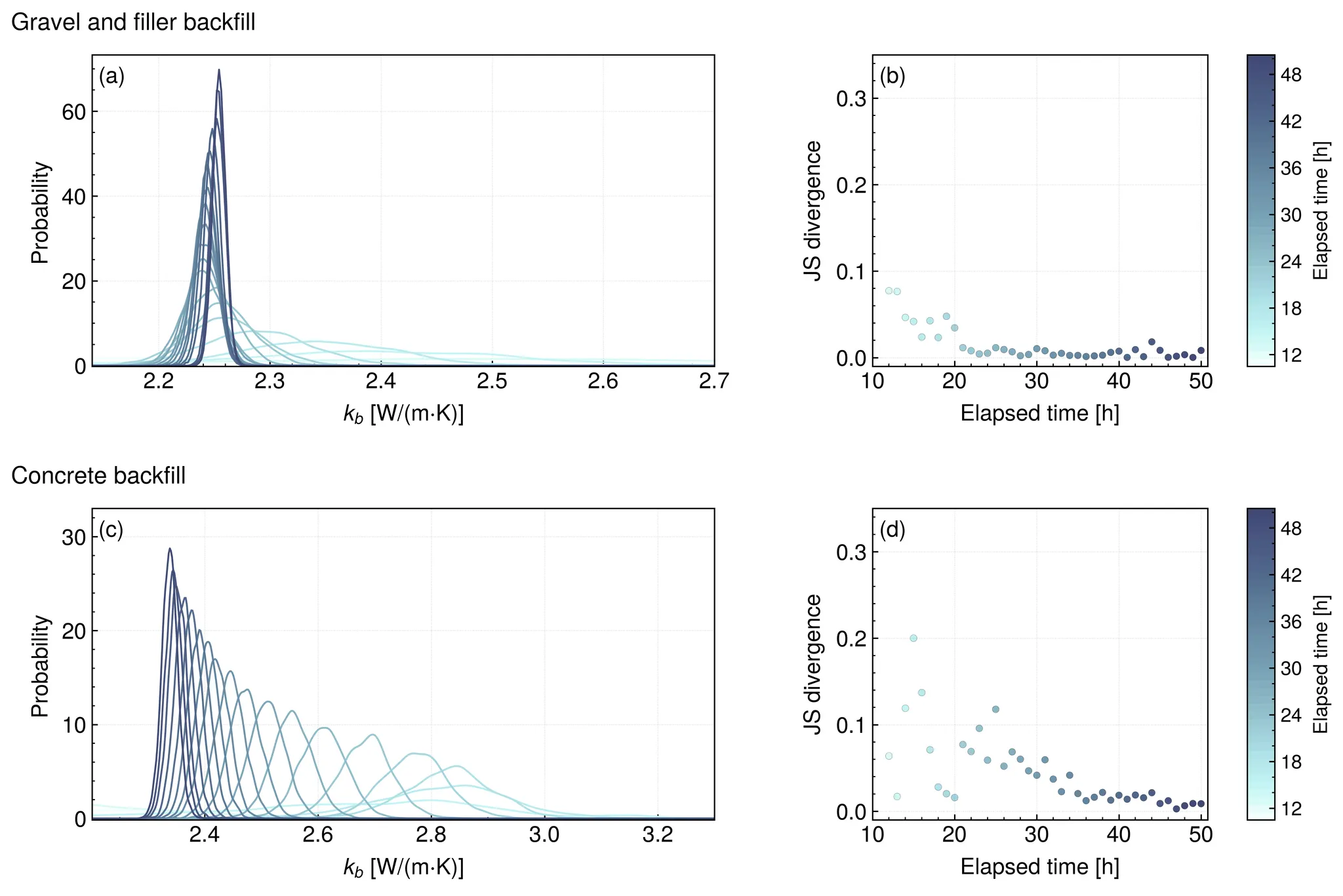
This paper presents a novel real-time probabilistic estimation method for determining the thermal properties of backfill material used in underground power transmission lines and ground heat exchangers. The proposed method combines a fast linear analytical model, Bayesian inference, and Jensen-Shannon divergence to enable real-time sequential estimations during field experiments, quantify the estimation uncertainty, and determine the estimation convergence. The method can capture the contextual information affecting the estimation uncertainty, such as the quality of the experiment and the construction state of the backfill. Thus the application of the developed estimation method can lead to significant cost savings by avoiding unnecessary and prolonged experiments.
Featured figures
Illustration of real-time sequential estimation of the probability density function for the backfill thermal conductivity, along with the temporal change in Jensen-Shannon divergence.


